Juristi i PD, Logu: Shenjat e gishtave të 23 personave janë përdorur për 60 votues në Vlorë
KAS vijon që të rrëzojë provat e PD dhe LSI për zgjedhjet e 25 prillit. Juristi i Partisë Demokratike në Komisionin e Ankesave dhe Sanksioneve, Marash Logu ka publikuar provat që sipas tij tregojnë se zgjedhjet në qarkun e Vlorës duhet të ripërsëriten. Po ashtu ai thotë se shenjat e gishtërinjve të 23 personave janë përdorur për identifikimin e 60 zgjedhësve. Logu shton edhe se të dhënat kanë dalë nga kryqëzimi i të dhënave të pajisjes PEI dhe se ekziston mundësia që 23 persona të kenë votuar 60 herë, ose rreth 3 herë/secili.
Postimi i plotë
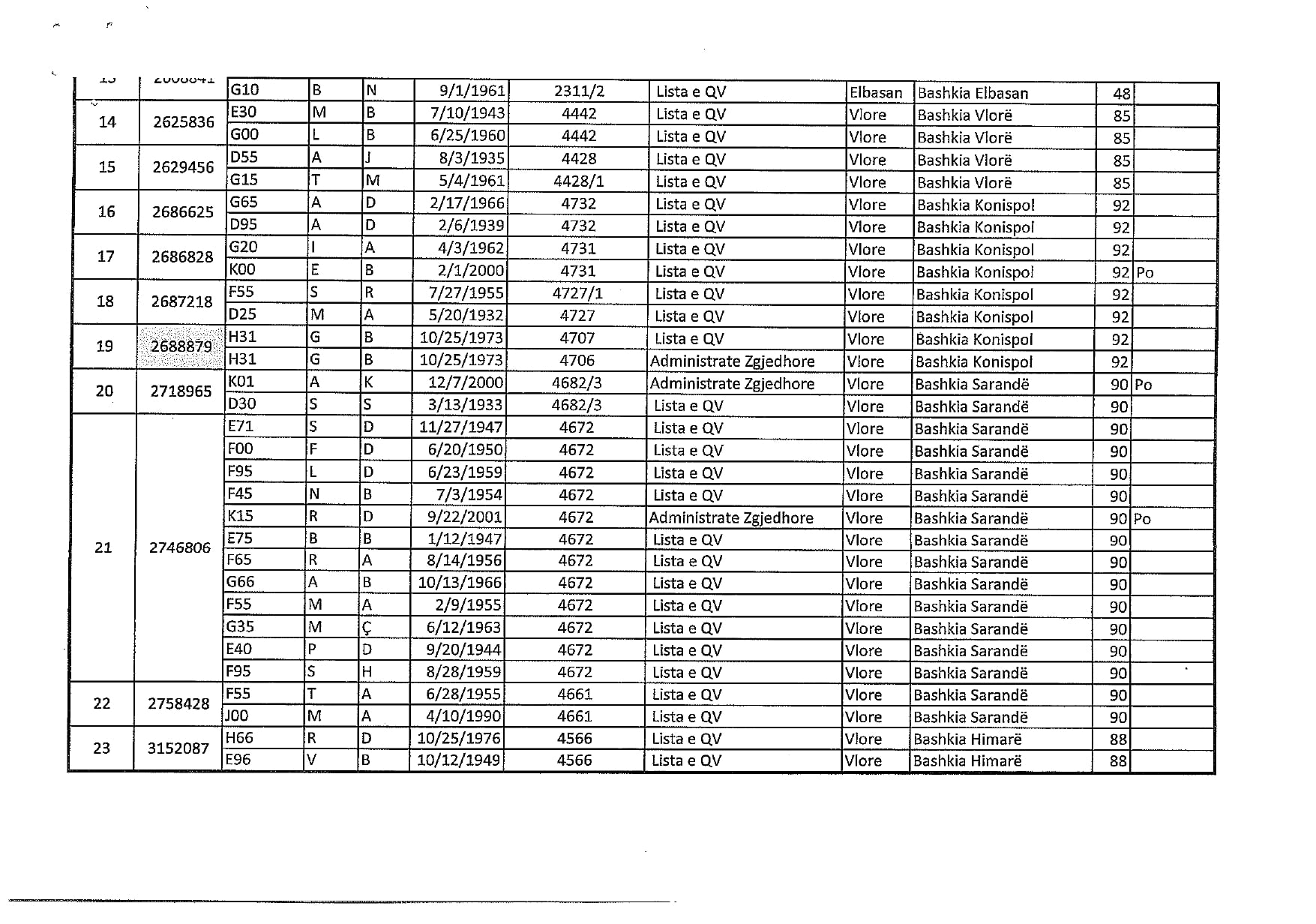
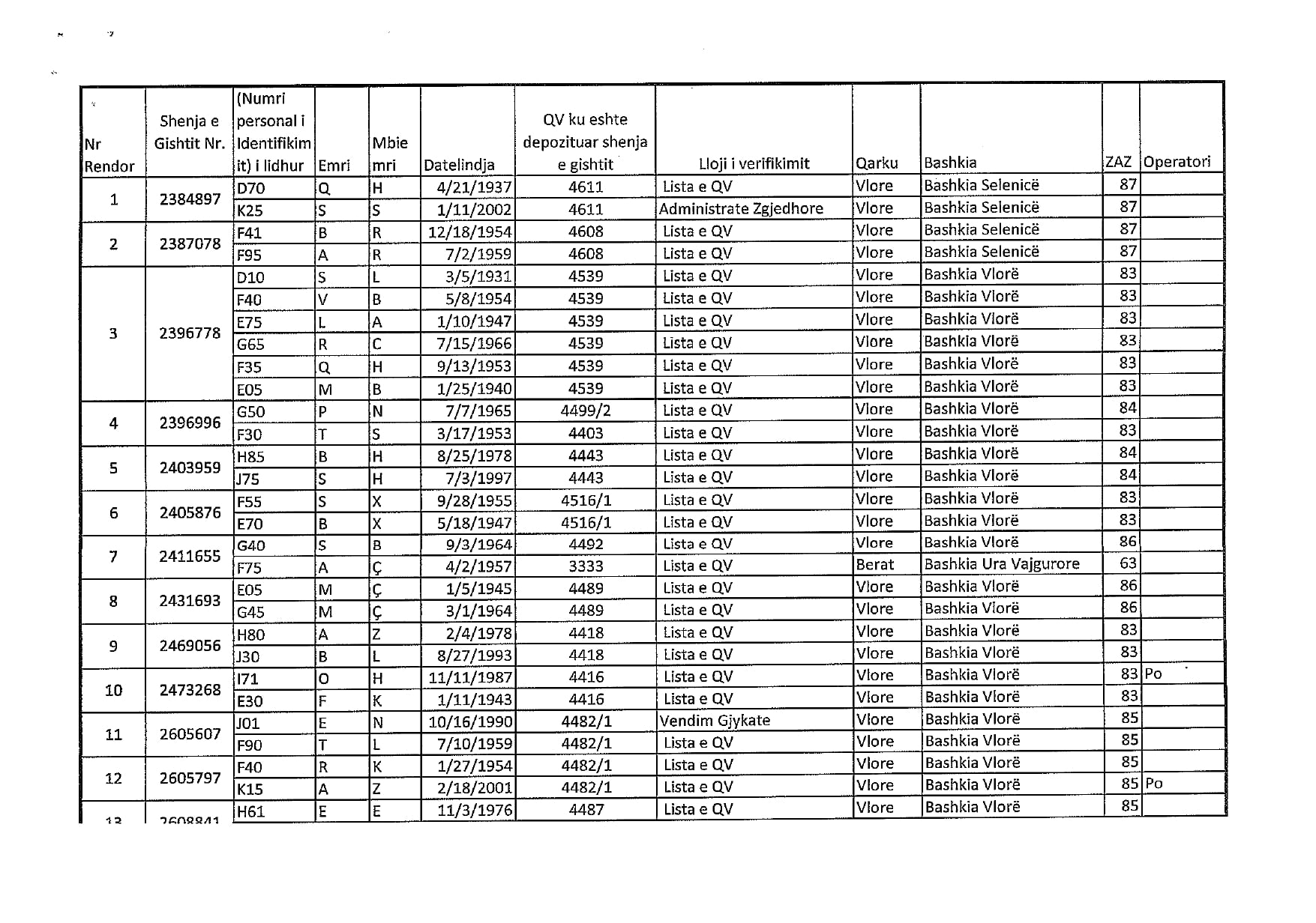
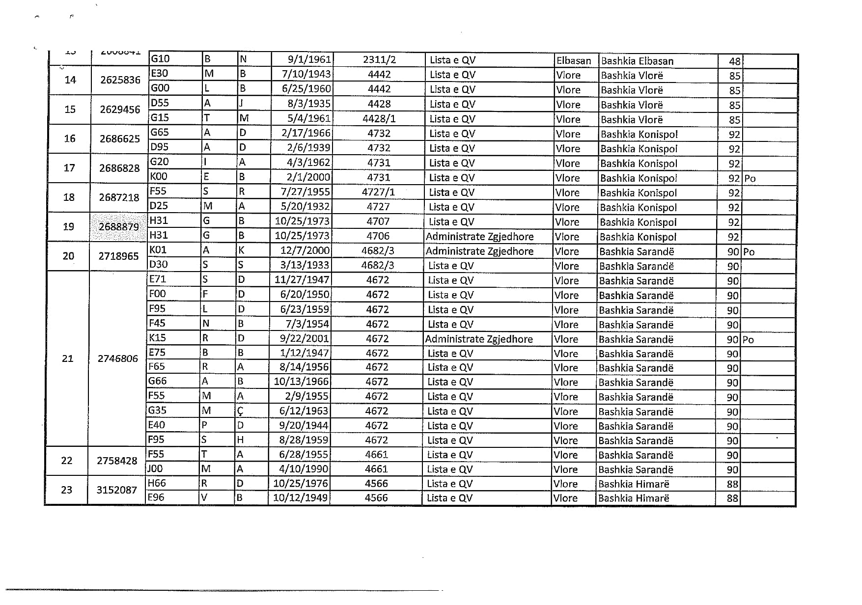
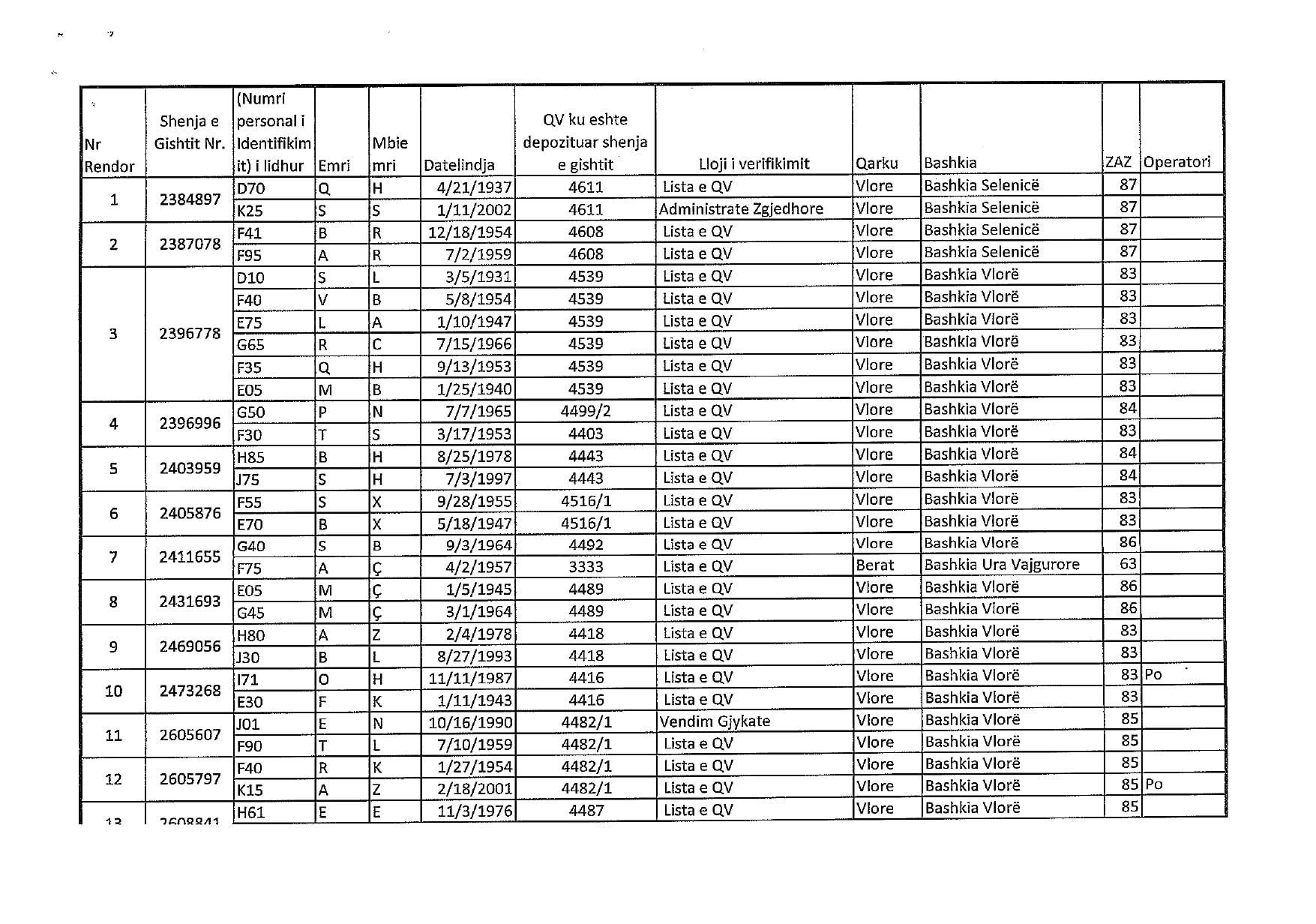
Nga kryqëzimi i të dhënave të pajisjeve të identifikimit elektronik (PEI) për qarkun Vlorë, e cila u mor nga KAS me kërkesë të Partisë Demokratike, rezultoi: Shenjat e gishtërinjve të 23 personave janë përdorur për identifikimin e 60 zgjedhësve. Kjo do të thotë se ekziston mundësia që 23 persona të kenë votuar 60 herë, ose rreth 3 herë/secili (shih foton 1 dhe 2 më poshtë).
Në foton e parë me nr.rendor 7 rezulton se e njëjta shenjë gishti është përdorur për identifikimin e dy zgjedhësve në dy qarqe të ndryshme: njëri në bashkinë Vlorë dhe tjetri në bashkinë Ura Vajgurore, Berat.
Në foton e dytë me nr.rendor 19 rezulton se i njëjti person ka votuar dy herë, një herë në bashkinë Konispol, dhe herën tjetër në bashkinë Sarandë.
Po në këtë foto me nr.rendor 21, rezulton se e njëjta shenjë gishti është përdorur për identifikimin e 12 zgjedhësve, pra potencialisht i njëjti person ka votuar 12 herë. Vetëm katër prova që KAS ka qenë i detyruar t’i marrë, me kërkesë të PD-së, faktojnë rreth 200 shkelje flagrante të ligjit. Ndërsa, shërbëtorët e Edi Ramës në KAS kanë refuzuar jo një herë, por 57 herë, të bëjnë transparencë të plotë mbi masakrën zgjedhore të 25 prillit.
Këto prova janë dëshmi e pakundërshtueshme se vullneti i 1.78 milionë votuesve u diktua nga krimi dhe paligjshmëria. Megjithatë, ne do ta vazhdojmë betejën. Sepse këtë betejë nuk po e bëjmë as për vete, as për anëtarët e KAS, por për qytetarët shqiptarë, të cilët janë viktimat e vërteta e 25 prillit.
KOHA JONË SONDAZH



